Tel:0556-5209906 15391842992
Q Q:3506754509
E-mail:alexander9956@163.com
Contacts:Manager Yao
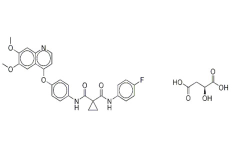
Product name:Carbozanitinb Malate
CAS NO.:1140909-48-3
content:≥99%
Molecular formula:C32H30FN3O10
Molecular weight:635.59300
Structural form:

for R&D use only
Tel:0556-5209906 15391842992
Q Q:3506754509
E-mail:alexander9956@163.com
Contacts:Manager Yao